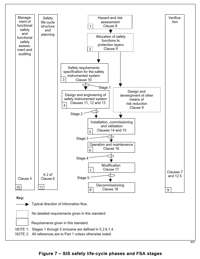
Definition:
The SIS Safety Lifecycle refers to all stages from concept through decommissioning of a Safety Instrumented System (SIS) according to IEC 61511 or IEC 61508. It ensures that hazards are identified, risk reduction is specified, implemented, maintained, and verified over the entire system lifetime.
It is one of the most core concepts of IEC 61511-1 and Functional Safety.
Key Points:
- Involves hazard analysis, SIL determination, design, operation, and decommissioning.
- Critical for maintaining ongoing functional safety and intertwined with Functional Safety Management.
Example:
SIL documentation and proof test records must be retained and updated from initial project handover through every change and periodic assessment until the facility is decommissioned.
Cited Source:
- IEC 61511-1:2016, Clause 3.2.70, Clause 5, and Figure 7
